FIR IP

Filter
Filter

Login required.

Sign in

Login required.

Sign in

Login required.

Sign in

Compare 956 IP from 144 vendors (1 - 10)
  • FIR II Intel® FPGA IP Core
    • The FIR II Intel IP core provides a fully-integrated finite impulse response (FIR) filter function optimized for use with Intel FPGA devices
    • The FIR II IP core has an interactive parameter editor that allows you to easily create custom FIR filters
    • The parameter editor outputs IP functional simulation model files for use with Verilog HDL and VHDL simulators
    • You can use the parameter editor to implement a variety of filter types, including single rate, decimation, interpolation, and fractional rate filters.
  • Serial FIR Filter
    • Serial Arithmetic for Reduced Resource Utilization
    • Variable Number of Taps up to 64
    • Data and Coefficients up to 32 Bits
    • Output Size Consistent with Data Size
    Block Diagram -- Serial FIR Filter
  • Parallel FIR Filter
    • Variable number of taps up to 64
    • Data and coefficients up to 32 bits
    • Output size consistent with data size
    • Zero-latency operation
    Block Diagram -- Parallel FIR Filter
  • FIR Filter Generator
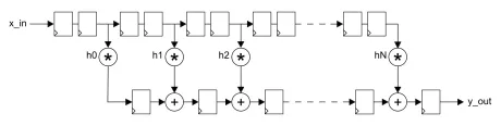
    • Direct Form 64-Tap FIR Filter: In the direct form FIR filter, the input samples are shifted into a shift register queue and each shift register is connected to a multiplier. The products from the multipliers are added together to get the FIR filter’s output sample. This example shows a 64-tap FIR filter using 16 sysDSP blocks and approximately 512 slices in the LatticeECP3 FPGA.
    • 128-Tap Long Asymmetrical Filters Using Ladder Architecture: Using the ladder architecture, the FIR filter is split into sections each having the same coefficient set as if it was a single continuous filter chain. Instead of connecting the shifted data and the result outputs from the first section to the corresponding input of the next section, the ladder network connects a delayed version of the first stage input data to the second stage input data and sums a delayed version of the first stage sum output with the second stage sum output.
    • 256-Tap Long Symmetrical Filters Using Ladder Architecture: The impulse response for most FIR filters is symmetric. This symmetry can generally be exploited to reduce the arithmetic requirements and produce area-efficient filter realizations. It is possible to use only half the multipliers for symmetric coefficients compared to that used for a similar filter with non-symmetric coefficients. An implementation for symmetric coefficients is shown in the figure below. The 256-tap long symmetrical filter example uses only 32 sysDSP slices, 2EBR and 3.5K slices.
    • Polyphase Interpolator FIR Filter Designs: The polyphase interpolation filter implements the computationally efficient 1-to-P interpolation filter where P is an integer greater than 1. The example below shows a design with an interpolation by 16 that uses 128 taps. This requires 8 polyphase filters (sub-filters) with 16 coefficients each.
    Block Diagram -- FIR Filter Generator
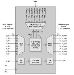
  • N-channel Multiplexed FIR Filter
    • FIR_NTAP_MUX is an N-channel multiplexed FIR filter designed for high sample rate applications where hardware resources are limited.
    • The main filter core is organized as a scalable systolic array permitting the user to specify large order filters without compromising maximum attainable clock-speed.
    Block Diagram -- N-channel Multiplexed FIR Filter
  • Generic high-speed FIR Filter with symmetry
    • FIR filter designed for high sample rate applications with symmetrical coefficients and an even or odd number of taps.
    • Features configurable coefficients and data width. Design uses only half the number of multipliers compared to a normal FIR implementation.
    • Matlab®, FDAtool and Simulink® compatible.
    Block Diagram -- Generic high-speed FIR Filter with symmetry
  • Generic ultra-speed FIR Filter
    • FIR filter designed for very high sample rate applications up to 600 MHz.
    • Organized as a systolic array, the filter is modular and scalable, permitting the user to specify large order filters without compromising maximum attainable clock-speed. Matlab®, FDAtool and Simulink® compatible.
    Block Diagram -- Generic ultra-speed FIR Filter
  • 2D FIR Filter
    • Single color plane
    • Single-rate, interpolating, and decimating filter configurations
    • Input frame size set at compile-time
    • Static or dynamic zoom and pan
    Block Diagram -- 2D FIR Filter
  • FIR Compiler
    • Delivers VHDL demonstration testbench with CORE Generator
    • Supports Pipelined Direct-Form based Multiply Accumulate (MAC) FIR and Transposed Direct-Form based MACFIR
    • High-performance finite impulse response (FIR), polyphase decimator, polyphase interpolator, half-band, half-band decimator and half-band interpolator, Hilbert transform, and interpolated filter implementations
    • Advanced interleaved channels to enable implementation of configurable bandwidth feature for advanced systems
  • TX & RX FIR Filter specifically to support DSP Application
    • Synthesizable, technology-independent IP Core for FPGA/ASIC and SoC
    • Coded with Verilog
    • It support 2 type of filters, Equiripple and Root Rise Cosine (RRC)
    • 16/12-bit Fixed-Point Representation/Operation (Imaginary and Real Number)
    Block Diagram -- TX & RX FIR Filter specifically to support DSP Application
×
Semiconductor IP