Vendor: Zipcores Electronic Systems Engineering S.L. Category: Filters Transforms

IIR Filter Second-Order-Section

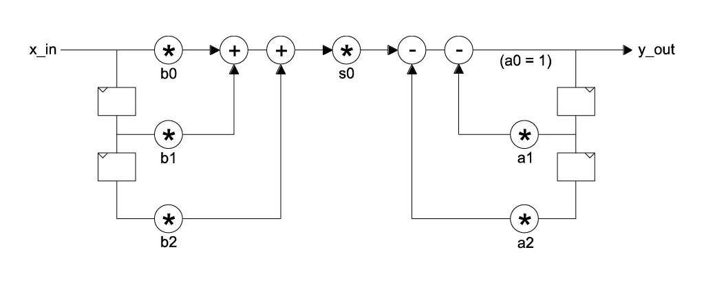
2nd order IIR filter sometimes referred to as a 'bi-quad'.

Overview

2nd order IIR filter sometimes referred to as a 'bi-quad'. Internally, it has a fully pipelined architecture permitting the highest possible sample rates for IIR filtering. The SOS block is modular allowing any number of SOS blocks to be joined in series to implement higher order IIR filters.

Key features

  • Key Design Features
  • Synthesizable, technology independent VHDL Core
  • Fully pipelined architecture for highest possible sample rates
  • 16-bit signed input and output samples
  • 16-bit fixed-point coefficients and scaling factor
  • Internal overflow detection
  • SOS coefficient matrix maps directly to filter coefficients
  • Cascade SOS blocks in series for higher-order filters
  • Small implementation size - requiring only 6 H/W multipliers

Block Diagram

Applications

  • General purpose Iow-pass, band-pass and high-pass filters 
  • Specialist filters including: peaking, notching, all-pass, group delay equalization, arbitrary magnitude etc.
  • IIR filtering in higher sample-rate applications
  • High performance filtering when resources are limited

Files

Note: some files may require an NDA depending on provider policy.

Specifications

Identity

Part Number
IIR_SOS
Vendor
Zipcores Electronic Systems Engineering S.L.
Type
Silicon IP

Provider

Zipcores Electronic Systems Engineering S.L.
HQ: Spain
Zipcores design and sell IP Cores for implementation on all semiconductor devices. Founded in 2008, we are a team of experienced Engineers with a broad knowledge of digital hardware design spanning various fields. Our specific areas of expertise include Digital Video, DSP, Digital Modulation and high-speed interfaces. We offer a wide range of IP Cores for a variety of applications from basic building blocks to more complex systems. Our cores are supplied as clear readable VHDL or Verilog source-code and are synthesizable across multiple technologies - whether it be FPGA, ASIC or SoC.

Learn more about Filters Transforms IP core

10 FPGA Design Techniques You Should Know

Regardless of whether you are using VHDL, System Verilog, or a different design capture language, there are a number of universal design techniques with which FPGA engineers should be familiar, from the very simple to the most advanced.

Frequently asked questions about Filters and Transforms IP cores

What is IIR Filter Second-Order-Section?

IIR Filter Second-Order-Section is a Filters Transforms IP core from Zipcores Electronic Systems Engineering S.L. listed on Semi IP Hub.

How should engineers evaluate this Filters Transforms?

Engineers should review the overview, key features, supported foundries and nodes, maturity, deliverables, and provider information before shortlisting this Filters Transforms IP.

Can this semiconductor IP be compared with similar products?

Yes. Buyers can compare this product with similar semiconductor IP cores or IP families based on category, provider, process options, and structured technical specifications.

×
Semiconductor IP